Dostępność: Aktualnie niedostępny
Czas wysyłki: 48 godzin
Koszt wysyłki: od 10,00 zł
Numer katalogowy: LNBUN4781
Stan magazynowy:
Stan produktu: Nowy
Gwarancja: 2 lata
Opticum Robust SCR 24UB + 2 LEGACY to konwerter, który ma cztery niezależne wyjścia: 2 zwykłe Universal i jedno SCR (Unicable).
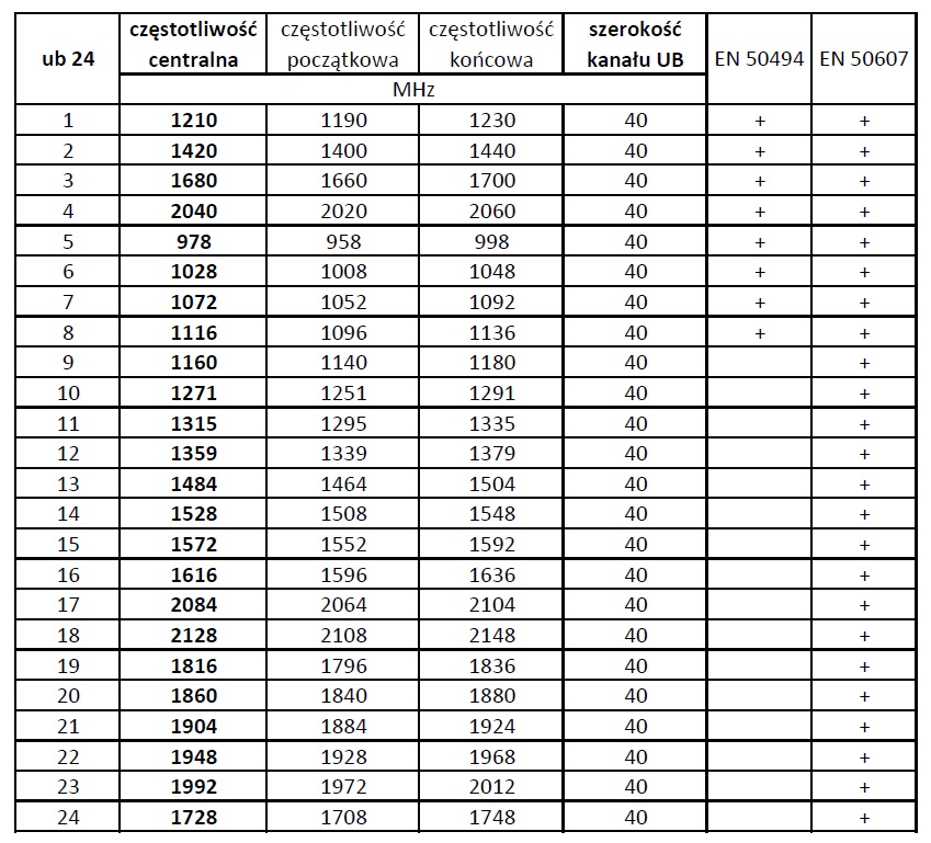
Konwerter posiada aż 24 częstotliwości dla wyjścia SCR
Pozwala zatem na jednoprzewodową (szeregową) transmisję sygnału do kilkunastu (max. 24) odbiorników z oznaczeniem Unicable w menu oraz z dwóch klasycznych wyjść do dwóch zwykłych dekoderów.
To świetne rozwiązanie dla instalacji Multiroom w jednym obiekcie.
Konwerter Unicable to rewolucja w telewizji satelitarnej - jedno wyjście konwertera, jeden kabel dla 24 odbiorników cyfrowych. Można łączyć odbiorniki szeregowo przez przelotki lub z zastosowaniem rozgałęźników TV-SAT (zależy od typu odbiornika).
Odbiorniki podłączone szeregowo dzięki Unicable pracują oczywiście w pełni niezależnie.
Warunkiem jest funkcja Unicable w menu tunera, która polega na wykorzystaniu do transmisji sygnału 24 częstotliwości:

Wyście SCR konwertera zostało zaprogramowane pod kątem dekoderów EvoBox Cyfrowego Polsatu ale z powodzeniem nadaje się też dla dekoderów canal+
Parametry techniczne:
Warto też zauważyć, że najważniejsza w zastosowaniu tej technologii jest dostępność sprzętu (odbiorników) z nią kompatybilnych. Dostępność technologii UniCable, SCR w odbiornikach w wolnej sprzedaży jest już od dobrych kilku lat, natomiast platformy cyfrowe w Polsce UniCable/SCR wdrażają stopniowo.
Aktualnie platforma Cyfrowy Polsat zapewnia wsparcie w dekoderze Evobox PVR,(Unicable I/II) oraz wszystkich modelach własnej produkcji, tj.: Mini HD 2000, HD 3000, HD 5000, HD 5500s, HD 6000 i PVR HD 7000 (Unicable I), a nc+ oferuje tą technologię w najnowszych modelach: 4K UltraBOX+ (Unicable I/II), mediaBOX+ (ADB ITI-3740SX), turboBOX+ (ABD ITI-5720SX), wifi Premiumbox+ (ADB NCP-4740SF), BOX+ (uwaga - tylko ADB ITI-2849/2850/2851S), PVR BOX+ (uwaga - tylko ADB ITI-5800SX, znany nbox recorder).
| Parametry techniczne: | |
|---|---|
| Współczynnik szumów/Noise figure | 0,1dB | 
| Wzmocnienie/Gain | min. 57dB | 
| Pobór prądu/Current consumption | 300 mA | 
| Kompatybilny z DVB-S2/HDTV | TAK | 
| Masa/Weight | 445g | 
| Średnica uchwytu konwertera | 40mm | 
|  | 
| + wszystko jednym kablem! | 
| + zabezpieczenie złącza F (pokrywa) | 
| + współczynnik szumów 0,1dB | 
| + kompatybilny z DVB-S2 i HDTV | 
| + Obsługa 24 odbiorników SCR! | 
Nikt jeszcze nie napisał recenzji do tego produktu. Bądź pierwszy i napisz recenzję.
Tylko zarejestrowani klienci mogą pisać recenzje do produktów. Jeżeli posiadasz konto w naszym sklepie zaloguj się na nie, jeżeli nie załóż bezpłatne konto i napisz recenzję.